LC: 1214. Two Sum BSTs
https://leetcode.com/problems/two-sum-bsts/
1214. Two Sum BSTs
Given the roots of two binary search trees, root1 and root2, return true if and only if there is a node in the first tree and a node in the second tree whose values sum up to a given integer target.
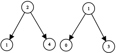
Example 1:
Input: root1 = [2,1,4], root2 = [1,0,3], target = 5
Output: true
Explanation: 2 and 3 sum up to 5.Example 2:
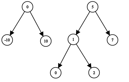
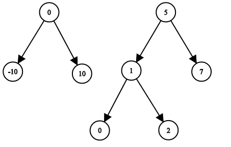
Input: root1 = [0,-10,10], root2 = [5,1,7,0,2], target = 18
Output: falseConstraints:
The number of nodes in each tree is in the range
[1, 5000].-109 <= Node.val, target <= 109
The Essence:
Für jeden Wert in dem ersten Baum sucht man die Differenz der gegebenen Summe und dieses Wert in dem zweiten Baum. Da beide Bäume binäre Suchbäume sind, kann hier binäre Suche benutzen.
Details:
1
Solutions:
Default Code:
Last updated