LC: 549. Binary Tree Longest Consecutive Sequence II
https://leetcode.com/problems/binary-tree-longest-consecutive-sequence-ii/
549. Binary Tree Longest Consecutive Sequence II
Given the root of a binary tree, return the length of the longest consecutive path in the tree.
A consecutive path is a path where the values of the consecutive nodes in the path differ by one. This path can be either increasing or decreasing.
For example,
[1,2,3,4]and[4,3,2,1]are both considered valid, but the path[1,2,4,3]is not valid.
On the other hand, the path can be in the child-Parent-child order, where not necessarily be parent-child order.
Example 1:
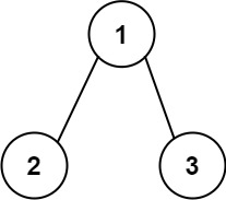
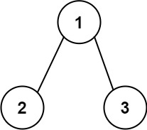
Input: root = [1,2,3]
Output: 2
Explanation: The longest consecutive path is [1, 2] or [2, 1].Example 2:
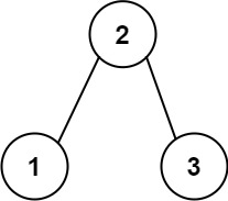
Input: root = [2,1,3]
Output: 3
Explanation: The longest consecutive path is [1, 2, 3] or [3, 2, 1].Constraints:
The number of nodes in the tree is in the range
[1, 3 * 104].-3 * 104 <= Node.val <= 3 * 104
Binary Tree Longest Consecutive Sequence II
The Essence:
Wenn beide Kindknoten bei einem Elterknoten eines Pfades gleichzeitig einen auf- oder absteigenden Pfad liefern, sollte den mit der maximalen Länge von diesen 2 ausgewählt werden. Die andere ab-/aufsteigende Folge kann dann 0 angenommen werden. Die Länge der fortlaufende Folge an jedem Knoten ist dann durch die Gleichung: aufsteigend+absteigend+1 gegeben. Dazu müssen Kindknoten ihre Folgelängen und Werte zurückgeben, was Rekursion impliziert.
Details:
Es ist zu beachten, dass die Traversierung hier in "Post-Order" ist, also "Links-Rechts-Wurzel" wird erfolgt.
Solutions:
Further details and implementation can be found here:
Default Code:
Last updated