LC: 536. Construct Binary Tree from String
https://leetcode.com/problems/construct-binary-tree-from-string/
536. Construct Binary Tree from String
You need to construct a binary tree from a string consisting of parenthesis and integers.
The whole input represents a binary tree. It contains an integer followed by zero, one or two pairs of parenthesis. The integer represents the root's value and a pair of parenthesis contains a child binary tree with the same structure.
You always start to construct the left child node of the parent first if it exists.
Example 1:
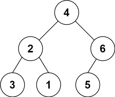
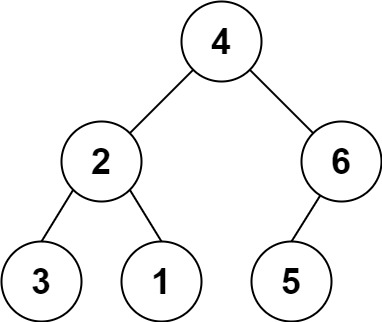
Input: s = "4(2(3)(1))(6(5))"
Output: [4,2,6,3,1,5]Example 2:
Input: s = "4(2(3)(1))(6(5)(7))"
Output: [4,2,6,3,1,5,7]Example 3:
Input: s = "-4(2(3)(1))(6(5)(7))"
Output: [-4,2,6,3,1,5,7]Constraints:
0 <= s.length <= 3 * 104sconsists of digits,'(',')', and'-'only.
Construct Binary Tree from String
The Essence:
Die Datenstruktur Binärbaum ist rekursiv definiert. Dies gilt auch für die Zeichenfolge, die diese Datenstruktur in diesem Problem darstellt. Wenn eine Klammer abgearbeitet wird, kann der nächste Knoten rekursiv als linker oder rechter Knoten einer bestimmten Wurzel geparst werden.
Details:
Für diese rekursive Definition des Strings kann einen Stapel oder eine Rekursion verwendet werden. Schließende Klammern zeigen auch das Ende des Parsens eines Knotens.
Solution(s) and Further Explanation:
Default Code:
Last updated